大学入学共通テスト(数学) 過去問
令和5年度(2023年度)追・再試験
問19 (数学Ⅰ・数学A(第2問) 問7)
問題文
高校1年生の太郎さんと花子さんのクラスでは、文化祭でやきそば屋を出店することになった。二人は1皿あたりの価格をいくらにするかを検討するためにアンケート調査を行い、1皿あたりの価格と売り上げ数の関係について次のように予測した。
1皿あたりの価格:100円 売り上げ数:1250皿
1皿あたりの価格:150円 売り上げ数:750皿
1皿あたりの価格:200円 売り上げ数:450皿
1皿あたりの価格:250円 売り上げ数:250皿
1皿あたりの価格:300円 売り上げ数:50皿
この結果から太郎さんと花子さんは、1皿あたりの価格が100円以上300円以下の範囲で、予測される利益(以下、利益)の最大値について考えることにした。
太郎:価格を横軸、売り上げ数を縦軸にとって散布図をかいてみたよ。
花子:散布図の点の並びは、1次関数のグラフのようには見えないね。2次関数のグラフみたいに見えるよ。
太郎:価格が100、200、300のときの点を通る2次関数のグラフをかくと、図1のように価格が150、250のときの点もそのグラフの近くにあるよ。
花子:現実には、もっと複雑な関係なのだろうけど、1次関数と2次関数で比べると、2次関数で考えた方がよいような気がするね。
2次関数
y=ax2+bx+c ・・・・・①
のグラフは、3点(100,1250)、(200,450)、(300,50)を通るとする。このとき、b=( アイウ )である。
二人は、1皿あたりの価格xと売り上げ数yの関係が①を満たしたときの、100≦x≦300での利益の最大値Mについて考えることにした。
1皿あたりの材料費は80円であり、材料費以外にかかる費用は5000円である。よって、x−80と売り上げ数の積から、5000を引いたものが利益となる。
このとき、売り上げ数を①の右辺の2次式とすると、利益はxの( エ )次式となる。一方で、売り上げ数として①の右辺の代わりにxの( オ )次式を使えば、利益はxの2次式となる。
太郎:利益が( エ )次式だと、今の私たちの知識では最大値Mを正確に求めることができないね。
花子:①の右辺の代わりに( オ )次式を使えば利益は2次式になるから、最大値を求められるよ。
太郎:現実の問題を考えるときには正確な答えが出せないことも多いから、自分の知識の範囲内で工夫しておおよその値を出すことには価値があると思うよ。
花子:考えているのが利益だから、①の右辺の代わりの式は売り上げ数を少なく見積もった式を考えると手堅いね。
太郎:少なく見積もるということは、その関数のグラフは①のグラフより、下の方にあるということだね。
1次関数
y=−4x+1160 ・・・・・②
を考える。このとき、①と②のグラフの位置関係は後の図2のようになっている。
①の右辺の代わりに②の右辺を使うと、売り上げ数を少なく見積もることになる。売り上げ数を②の右辺としたときの利益zは
z=−( カ )x2+( キクケコ )x−97800
で与えられる。zが最大となるxをpとおくと、p=( サシス )であり、zの最大値は39100である。
太郎:売り上げ数を少なく見積もった式は、各xについて値が①より小さければよいので、色々な式が考えられるね。
花子:それらの式を①の右辺の代わりに使ったときの利益の最大値と、①の右辺から計算される利益の最大値Mとの関係はどうなるのかな。
1次関数
y=−8x+1968 ・・・・・③
を考える。売り上げ数を③の右辺としたときの利益はx=163のときに最大となり、最大値は50112となる。
また、①~③のグラフの位置関係は後の図3のようになっている。
売り上げ数を①の右辺としたときの利益の記述として、正しいものは( セ )と( ソ )である。
1次関数
y=−6x+1860 ・・・・・④
を考える。100≦x≦300において、売り上げ数を④の右辺としたときの利益はx=195のときに最大となり、最大値は74350となる。
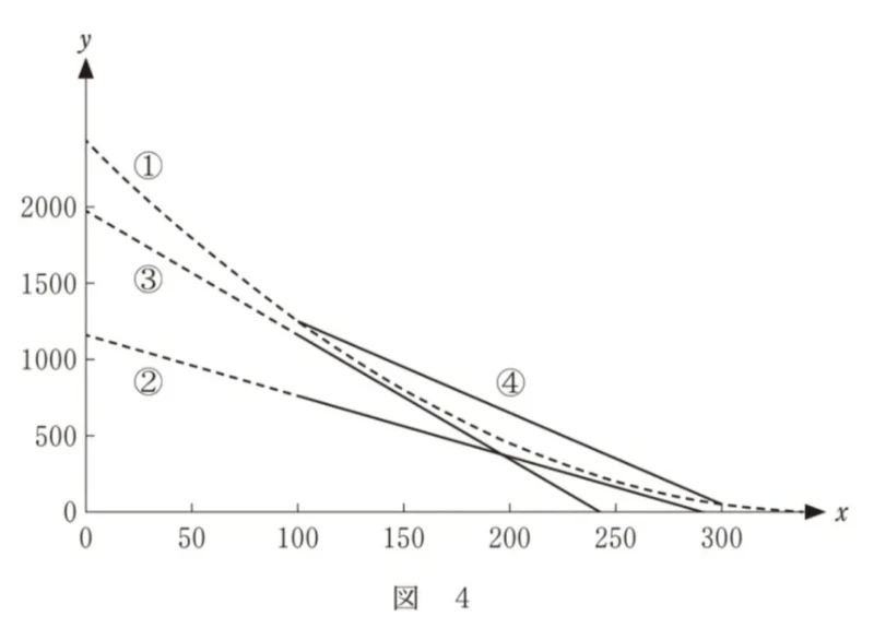
また、①~④のグラフの位置関係は後の図4のようになっている。
売り上げ数を①の右辺としたときの利益の最大値Mについての記述として、正しいものは( タ )である。
このページは閲覧用ページです。
履歴を残すには、 「新しく出題する(ここをクリック)」 をご利用ください。
問題
大学入学共通テスト(数学)試験 令和5年度(2023年度)追・再試験 問19(数学Ⅰ・数学A(第2問) 問7) (訂正依頼・報告はこちら)
高校1年生の太郎さんと花子さんのクラスでは、文化祭でやきそば屋を出店することになった。二人は1皿あたりの価格をいくらにするかを検討するためにアンケート調査を行い、1皿あたりの価格と売り上げ数の関係について次のように予測した。
1皿あたりの価格:100円 売り上げ数:1250皿
1皿あたりの価格:150円 売り上げ数:750皿
1皿あたりの価格:200円 売り上げ数:450皿
1皿あたりの価格:250円 売り上げ数:250皿
1皿あたりの価格:300円 売り上げ数:50皿
この結果から太郎さんと花子さんは、1皿あたりの価格が100円以上300円以下の範囲で、予測される利益(以下、利益)の最大値について考えることにした。
太郎:価格を横軸、売り上げ数を縦軸にとって散布図をかいてみたよ。
花子:散布図の点の並びは、1次関数のグラフのようには見えないね。2次関数のグラフみたいに見えるよ。
太郎:価格が100、200、300のときの点を通る2次関数のグラフをかくと、図1のように価格が150、250のときの点もそのグラフの近くにあるよ。
花子:現実には、もっと複雑な関係なのだろうけど、1次関数と2次関数で比べると、2次関数で考えた方がよいような気がするね。
2次関数
y=ax2+bx+c ・・・・・①
のグラフは、3点(100,1250)、(200,450)、(300,50)を通るとする。このとき、b=( アイウ )である。
二人は、1皿あたりの価格xと売り上げ数yの関係が①を満たしたときの、100≦x≦300での利益の最大値Mについて考えることにした。
1皿あたりの材料費は80円であり、材料費以外にかかる費用は5000円である。よって、x−80と売り上げ数の積から、5000を引いたものが利益となる。
このとき、売り上げ数を①の右辺の2次式とすると、利益はxの( エ )次式となる。一方で、売り上げ数として①の右辺の代わりにxの( オ )次式を使えば、利益はxの2次式となる。
太郎:利益が( エ )次式だと、今の私たちの知識では最大値Mを正確に求めることができないね。
花子:①の右辺の代わりに( オ )次式を使えば利益は2次式になるから、最大値を求められるよ。
太郎:現実の問題を考えるときには正確な答えが出せないことも多いから、自分の知識の範囲内で工夫しておおよその値を出すことには価値があると思うよ。
花子:考えているのが利益だから、①の右辺の代わりの式は売り上げ数を少なく見積もった式を考えると手堅いね。
太郎:少なく見積もるということは、その関数のグラフは①のグラフより、下の方にあるということだね。
1次関数
y=−4x+1160 ・・・・・②
を考える。このとき、①と②のグラフの位置関係は後の図2のようになっている。
①の右辺の代わりに②の右辺を使うと、売り上げ数を少なく見積もることになる。売り上げ数を②の右辺としたときの利益zは
z=−( カ )x2+( キクケコ )x−97800
で与えられる。zが最大となるxをpとおくと、p=( サシス )であり、zの最大値は39100である。
太郎:売り上げ数を少なく見積もった式は、各xについて値が①より小さければよいので、色々な式が考えられるね。
花子:それらの式を①の右辺の代わりに使ったときの利益の最大値と、①の右辺から計算される利益の最大値Mとの関係はどうなるのかな。
1次関数
y=−8x+1968 ・・・・・③
を考える。売り上げ数を③の右辺としたときの利益はx=163のときに最大となり、最大値は50112となる。
また、①~③のグラフの位置関係は後の図3のようになっている。
売り上げ数を①の右辺としたときの利益の記述として、正しいものは( セ )と( ソ )である。
1次関数
y=−6x+1860 ・・・・・④
を考える。100≦x≦300において、売り上げ数を④の右辺としたときの利益はx=195のときに最大となり、最大値は74350となる。
また、①~④のグラフの位置関係は後の図4のようになっている。
売り上げ数を①の右辺としたときの利益の最大値Mについての記述として、正しいものは( タ )である。
- 利益の最大値Mは50112より小さい。
- 利益の最大値Mは50112である。
- 利益の最大値Mは50112より大きく74350より小さい。
- 利益の最大値Mは74350である。
- 利益の最大値Mは74350より大きい。
正解!素晴らしいです
残念...
この過去問の解説 (2件)
01
正しい記述を選ぶ問題です。
図から、100≦x≦300において①のグラフは
・③のグラフよりも上
・④のグラフよりも下
にあると分かります。
また問題文より
(売り上げ数)が③の右辺であるとき x=163のときに最大値50112
(売り上げ数)が③の右辺であるとき x=195のときに最大値74350
です。
これらの情報から正解の選択肢にたどり着くことができそうですね。
誤りです。
基本の式は z=(x−80)(売り上げ数)−5000 です。
50112は(売り上げ数)が③の右辺であるときの利益の最大値ですね。
③は①よりも売り上げ数を少なく見積もった式ですから、利益の最大値Mは50112よりも大きくなります。
図を見ても、①と③のグラフは交わっていません。
誤りです。
基本の式は z=(x−80)(売り上げ数)−5000 です。
50112は(売り上げ数)が③の右辺であるときの利益の最大値ですね。
③は①よりも売り上げ数を少なく見積もった式ですから、利益の最大値Mは50112よりも大きくなります。
図を見ても、①と③のグラフは接していません。
正しいです。
図を見ると、100≦x≦300において
・④のグラフは①のグラフよりも上
・③のグラフは①のグラフよりも下
です。
よって、利益の最大値Mは
z=(x−80)(売り上げ数)−5000
の(売り上げ数)に③式の右辺を使った場合の利益の最大値より大きく、④式の右辺を使った場合の利益の最大値より小さくなります。
③ 利益の最大値は50112
④ 利益の最大値は74350
したがって、利益の最大値Mは50112より大きく74350より小さくなります。
誤りです。
基本の式は z=(x−80)(売り上げ数)−5000 です。
74350は(売り上げ数)が④の右辺であるときx=195でとる利益の最大値ですね。
④は100≦x≦300において①よりも売り上げ数を多く見積もった式ですから、利益の最大値Mは74350よりも小さくなります。
図を見ても、x=195のときに①と④のグラフは接していません。
誤りです。
基本の式は z=(x−80)(売り上げ数)−5000 です。
74350は(売り上げ数)が④の右辺であるときx=195でとる利益の最大値ですね。
④は100≦x≦300において①よりも売り上げ数を多く見積もった式ですから、利益の最大値Mは74350よりも小さくなります。
図を見ても、x=195のときに①と④のグラフは交わっていません。
図を見てなんとなく予想できた人も多いと思います。(セ)(ソ)とほぼ同じ考え方ですから、(タ)まで辿り着いた人ならかなり解きやすかったでしょう。
参考になった数0
この解説の修正を提案する
02
図4を確認すると、100≦x≦300においては④>①であることが分かります。
一方で、同じ範囲においては③<①であることも分かります。
つまり、①の右辺としたときの利益の最大値Mは、
③の最大値<M<④の最大値ということができます。
設問より、50112<M<47350
したがって、以下が正しい選択肢となります。
上記の内容により、適当ですので正解です。
参考になった数0
この解説の修正を提案する
前の問題(問18)へ
令和5年度(2023年度)追・再試験 問題一覧
次の問題(問20)へ