大学入学共通テスト(数学) 過去問
令和5年度(2023年度)追・再試験
問60 (数学Ⅱ・数学B(第1問) 問7)
問題文
P(x)を係数が実数であるxの整式とする。方程式P(x)=0は虚数1+√2iを解にもつとする。
(1)虚数1−√2iもP(x)=0の解であることを示そう。
1±√2iを解とするxの2次方程式でx2の係数が1であるものは
x2−( ア )x+( イ )=0
である。S(x)=x2−( ア )x+( イ )とし、P(x)をS(x)で割ったときの商をQ(x)、余りをR(x)とすると、次が成り立つ。
P(x)=( ウ )
また、S(x)は2次式であるから、m,Nを実数として、R(x)は
R(x)=mx+n
と表せる。ここで、1+√2iが二つの方程式P(x)=0とS(x)=0の解であることを用いればR(1+√2i)=( エ )となるので、x=1+√2iを
R(x)=mx+nに代入することにより、m=( オ ),N=( カ )であることがわかる。したがって、( キ )であることがわかるので、1−√2iもP(x)=0の解である。
(2)k、lを実数として
P(x)=3x4+2x3+kx+l
の場合を考える。このとき、P(x)を(1)のS(x)で割ったときの商をQ(x)、余りをR(x)とすると
Q(x)=( ク )x2+( ケ )x+( コ )
R(x)=/(k−[ サシ ])x+l−( スセ )
となる。P(x)=0は1+√2iを解にもつので、(1)の考察を用いると
k=( ソタ )、l=( チツ )
である。また、P(x)=0の1+√2i以外の解は
x=( テ )−√( ト )i,{−[ ナ ]±(√[ ニ ])i}/( ヌ )
であることがわかる。
このページは閲覧用ページです。
履歴を残すには、 「新しく出題する(ここをクリック)」 をご利用ください。
問題
大学入学共通テスト(数学)試験 令和5年度(2023年度)追・再試験 問60(数学Ⅱ・数学B(第1問) 問7) (訂正依頼・報告はこちら)
P(x)を係数が実数であるxの整式とする。方程式P(x)=0は虚数1+√2iを解にもつとする。
(1)虚数1−√2iもP(x)=0の解であることを示そう。
1±√2iを解とするxの2次方程式でx2の係数が1であるものは
x2−( ア )x+( イ )=0
である。S(x)=x2−( ア )x+( イ )とし、P(x)をS(x)で割ったときの商をQ(x)、余りをR(x)とすると、次が成り立つ。
P(x)=( ウ )
また、S(x)は2次式であるから、m,Nを実数として、R(x)は
R(x)=mx+n
と表せる。ここで、1+√2iが二つの方程式P(x)=0とS(x)=0の解であることを用いればR(1+√2i)=( エ )となるので、x=1+√2iを
R(x)=mx+nに代入することにより、m=( オ ),N=( カ )であることがわかる。したがって、( キ )であることがわかるので、1−√2iもP(x)=0の解である。
(2)k、lを実数として
P(x)=3x4+2x3+kx+l
の場合を考える。このとき、P(x)を(1)のS(x)で割ったときの商をQ(x)、余りをR(x)とすると
Q(x)=( ク )x2+( ケ )x+( コ )
R(x)=/(k−[ サシ ])x+l−( スセ )
となる。P(x)=0は1+√2iを解にもつので、(1)の考察を用いると
k=( ソタ )、l=( チツ )
である。また、P(x)=0の1+√2i以外の解は
x=( テ )−√( ト )i,{−[ ナ ]±(√[ ニ ])i}/( ヌ )
であることがわかる。
- サシ:10 スセ:21
- サシ:11 スセ:22
- サシ:12 スセ:23
- サシ:13 スセ:24
正解!素晴らしいです
残念...
この過去問の解説 (2件)
01
(ク)(ケ)(コ)の計算結果をそのまま答えればよいですね。
R(x)=(k-10)x+(l-21)
したがって、答えは(サシ)=10, (スセ)=21 です。
(ク)(ケ)(コ)同様、計算ミスに気を付けましょう。
参考になった数0
この解説の修正を提案する
02
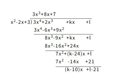
P(x)=3x4+2x3+kx+lを
S(x)=x2-2x+3で割ります。
よって、
Q(x)=3x3+8x+7
R(x)=(k-10)x+l-21
正解です。
参考になった数0
この解説の修正を提案する
前の問題(問59)へ
令和5年度(2023年度)追・再試験 問題一覧
次の問題(問61)へ