大学入学共通テスト(数学) 過去問
令和5年度(2023年度)追・再試験
問62 (数学Ⅱ・数学B(第1問) 問9)
問題文
P(x)を係数が実数であるxの整式とする。方程式P(x)=0は虚数1+√2iを解にもつとする。
(1)虚数1−√2iもP(x)=0の解であることを示そう。
1±√2iを解とするxの2次方程式でx2の係数が1であるものは
x2−( ア )x+( イ )=0
である。S(x)=x2−( ア )x+( イ )とし、P(x)をS(x)で割ったときの商をQ(x)、余りをR(x)とすると、次が成り立つ。
P(x)=( ウ )
また、S(x)は2次式であるから、m,Nを実数として、R(x)は
R(x)=mx+n
と表せる。ここで、1+√2iが二つの方程式P(x)=0とS(x)=0の解であることを用いればR(1+√2i)=( エ )となるので、x=1+√2iを
R(x)=mx+nに代入することにより、m=( オ ),N=( カ )であることがわかる。したがって、( キ )であることがわかるので、1−√2iもP(x)=0の解である。
(2)k、lを実数として
P(x)=3x4+2x3+kx+l
の場合を考える。このとき、P(x)を(1)のS(x)で割ったときの商をQ(x)、余りをR(x)とすると
Q(x)=( ク )x2+( ケ )x+( コ )
R(x)=/(k−[ サシ ])x+l−( スセ )
となる。P(x)=0は1+√2iを解にもつので、(1)の考察を用いると
k=( ソタ )、l=( チツ )
である。また、P(x)=0の1+√2i以外の解は
x=( テ )−√( ト )i,{−[ ナ ]±(√[ ニ ])i}/( ヌ )
であることがわかる。
このページは閲覧用ページです。
履歴を残すには、 「新しく出題する(ここをクリック)」 をご利用ください。
問題
大学入学共通テスト(数学)試験 令和5年度(2023年度)追・再試験 問62(数学Ⅱ・数学B(第1問) 問9) (訂正依頼・報告はこちら)
P(x)を係数が実数であるxの整式とする。方程式P(x)=0は虚数1+√2iを解にもつとする。
(1)虚数1−√2iもP(x)=0の解であることを示そう。
1±√2iを解とするxの2次方程式でx2の係数が1であるものは
x2−( ア )x+( イ )=0
である。S(x)=x2−( ア )x+( イ )とし、P(x)をS(x)で割ったときの商をQ(x)、余りをR(x)とすると、次が成り立つ。
P(x)=( ウ )
また、S(x)は2次式であるから、m,Nを実数として、R(x)は
R(x)=mx+n
と表せる。ここで、1+√2iが二つの方程式P(x)=0とS(x)=0の解であることを用いればR(1+√2i)=( エ )となるので、x=1+√2iを
R(x)=mx+nに代入することにより、m=( オ ),N=( カ )であることがわかる。したがって、( キ )であることがわかるので、1−√2iもP(x)=0の解である。
(2)k、lを実数として
P(x)=3x4+2x3+kx+l
の場合を考える。このとき、P(x)を(1)のS(x)で割ったときの商をQ(x)、余りをR(x)とすると
Q(x)=( ク )x2+( ケ )x+( コ )
R(x)=/(k−[ サシ ])x+l−( スセ )
となる。P(x)=0は1+√2iを解にもつので、(1)の考察を用いると
k=( ソタ )、l=( チツ )
である。また、P(x)=0の1+√2i以外の解は
x=( テ )−√( ト )i,{−[ ナ ]±(√[ ニ ])i}/( ヌ )
であることがわかる。
- テ:1 ト:2
- テ:2 ト:3
- テ:3 ト:5
- テ:4 ト:6
正解!素晴らしいです
残念...
この過去問の解説 (2件)
01
P(x)=0は4次方程式です。(テ)~(ヌ)の問題文を見るに、虚数解も含めて4つ解があるはずですね。
以下の解答を参考にして下さい。
(1)(ウ)より P(x)=S(x)Q(x)+R(x)…①
R(x)=0 から、①式は P(x)=S(x)Q(x) と表せます。
このときS(x)=0の解やQ(x)=0の解はP(x)=0の解であるともいえますね。
(1)より S(x)=x2-2x+3, x=1±√2i です。
したがって、 (テ)=1, (ト)=2 です。
(1)を利用すればすぐに解けますね。焦らず解き進めましょう。
(詳細は省きますが、実は係数部分がすべて実数である整式は虚数解の重解を持ちません。豆知識として頭に入れておくと良いかもしれませんね。)
参考になった数0
この解説の修正を提案する
02
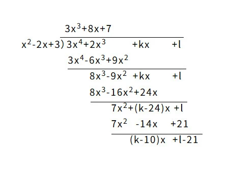
P(x)=(3x3+8x+7)(x2-2x+3)
P(x)=0の解は
(1)より
x=1+√2iのほかにx=1ー√2iも解です。
3x3+8x+7=0の解を考えます。
解の公式より
x=(-8±√82-4・3・7)/2・3
=(-8±√20i)/2・3
=(-4±√5i)/3
よって、
1+√2i以外の解は
x=1-√2i,(-4±√5i)/3
正解です。
参考になった数0
この解説の修正を提案する
前の問題(問61)へ
令和5年度(2023年度)追・再試験 問題一覧
次の問題(問63)へ