大学入学共通テスト(数学) 過去問
令和5年度(2023年度)追・再試験
問63 (数学Ⅱ・数学B(第1問) 問10)
問題文
P(x)を係数が実数であるxの整式とする。方程式P(x)=0は虚数1+√2iを解にもつとする。
(1)虚数1−√2iもP(x)=0の解であることを示そう。
1±√2iを解とするxの2次方程式でx2の係数が1であるものは
x2−( ア )x+( イ )=0
である。S(x)=x2−( ア )x+( イ )とし、P(x)をS(x)で割ったときの商をQ(x)、余りをR(x)とすると、次が成り立つ。
P(x)=( ウ )
また、S(x)は2次式であるから、m,Nを実数として、R(x)は
R(x)=mx+n
と表せる。ここで、1+√2iが二つの方程式P(x)=0とS(x)=0の解であることを用いればR(1+√2i)=( エ )となるので、x=1+√2iを
R(x)=mx+nに代入することにより、m=( オ ),N=( カ )であることがわかる。したがって、( キ )であることがわかるので、1−√2iもP(x)=0の解である。
(2)k、lを実数として
P(x)=3x4+2x3+kx+l
の場合を考える。このとき、P(x)を(1)のS(x)で割ったときの商をQ(x)、余りをR(x)とすると
Q(x)=( ク )x2+( ケ )x+( コ )
R(x)=/(k−[ サシ ])x+l−( スセ )
となる。P(x)=0は1+√2iを解にもつので、(1)の考察を用いると
k=( ソタ )、l=( チツ )
である。また、P(x)=0の1+√2i以外の解は
x=( テ )−√( ト )i,{−[ ナ ]±(√[ ニ ])i}/( ヌ )
であることがわかる。
このページは閲覧用ページです。
履歴を残すには、 「新しく出題する(ここをクリック)」 をご利用ください。
問題
大学入学共通テスト(数学)試験 令和5年度(2023年度)追・再試験 問63(数学Ⅱ・数学B(第1問) 問10) (訂正依頼・報告はこちら)
P(x)を係数が実数であるxの整式とする。方程式P(x)=0は虚数1+√2iを解にもつとする。
(1)虚数1−√2iもP(x)=0の解であることを示そう。
1±√2iを解とするxの2次方程式でx2の係数が1であるものは
x2−( ア )x+( イ )=0
である。S(x)=x2−( ア )x+( イ )とし、P(x)をS(x)で割ったときの商をQ(x)、余りをR(x)とすると、次が成り立つ。
P(x)=( ウ )
また、S(x)は2次式であるから、m,Nを実数として、R(x)は
R(x)=mx+n
と表せる。ここで、1+√2iが二つの方程式P(x)=0とS(x)=0の解であることを用いればR(1+√2i)=( エ )となるので、x=1+√2iを
R(x)=mx+nに代入することにより、m=( オ ),N=( カ )であることがわかる。したがって、( キ )であることがわかるので、1−√2iもP(x)=0の解である。
(2)k、lを実数として
P(x)=3x4+2x3+kx+l
の場合を考える。このとき、P(x)を(1)のS(x)で割ったときの商をQ(x)、余りをR(x)とすると
Q(x)=( ク )x2+( ケ )x+( コ )
R(x)=/(k−[ サシ ])x+l−( スセ )
となる。P(x)=0は1+√2iを解にもつので、(1)の考察を用いると
k=( ソタ )、l=( チツ )
である。また、P(x)=0の1+√2i以外の解は
x=( テ )−√( ト )i,{−[ ナ ]±(√[ ニ ])i}/( ヌ )
であることがわかる。
- ナ:2 ニ:2 ヌ:3
- ナ:3 ニ:3 ヌ:2
- ナ:4 ニ:5 ヌ:3
- ナ:5 ニ:6 ヌ:2
正解!素晴らしいです
残念...
この過去問の解説 (2件)
01
これで、P(x)=0の解のうちS(x)の部分が持っている2つが分かりました。
次はQ(x)の部分が持つ解を求めましょう。
2次方程式ax2+bx+c=0(a≠0)の解は以下の式で求められます。
2次方程式の解の公式 x={-b±√(b2-4ac)}/2a
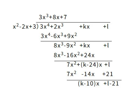
(ク)(ケ)(コ)から、Q(x)=3x3+8x+7
2次方程式の解の公式より、Q(x)=0の解は
x={-8±√(82-4・3・7)}/2・3
x==(-4±√5i)/3
したがって、答えは(ナ)=4, (ニ)=5, (ヌ)=3です。
2次方程式の解の公式は必ず暗記しておきましょう。4次方程式にも解の公式はありますが、そこまで覚える必要はありません。
参考になった数0
この解説の修正を提案する
02
P(x)=(3x3+8x+7)(x2-2x+3)
P(x)=0の解は
(1)より
x=1+√2iのほかにx=1ー√2iも解です。
3x3+8x+7=0の解を考えます。
解の公式より
x=(-8±√82-4・3・7)/2・3
=(-8±√20i)/2・3
=(-4±√5i)/3
よって、
1+√2i以外の解は
x=1-√2i,(-4±√5i)/3
正解です。
参考になった数0
この解説の修正を提案する
前の問題(問62)へ
令和5年度(2023年度)追・再試験 問題一覧
次の問題(問64)へ