大学入学共通テスト(数学) 過去問
令和6年度(2024年度)追・試験
問101 (数学Ⅱ・数学B(第5問) 問1)

このページは閲覧用ページです。
履歴を残すには、 「新しく出題する(ここをクリック)」 をご利用ください。

問題

大学入学共通テスト(数学)試験 令和6年度(2024年度)追・試験 問101(数学Ⅱ・数学B(第5問) 問1) (訂正依頼・報告はこちら)

以下( ア )にあてはまるものを1つ選べ。

平面上に3点O、A、Bがある。ただし、O、A、Bは同一直線上にはないとする。
問題文の画像
  • t
  • (t−1)
  • (1−t)
  • (−t)
  • t2
  • t(1−t)
  • 2t(1−t)
  • (1−t)2

次の問題へ

正解!素晴らしいです

残念...

この過去問の解説 (2件)

01

解説では、ベクトルaをaと書きます。

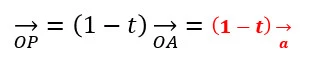
解答:(ア):(1-t)

 

解説:

PはOAを(1-t):tに内分する点なので、

OP=(1-t)OA

=(1-t)a

参考になった数0

02

PはOAを(1-t):tに内分する点だから

選択肢1. t

不正解です。

選択肢2. (t−1)

不正解です。

選択肢3. (1−t)

正解です。

選択肢4. (−t)

不正解です。

選択肢5. t2

不正解です。

選択肢6. t(1−t)

不正解です。

選択肢7. 2t(1−t)

不正解です。

選択肢8. (1−t)2

不正解です。

まとめ

内分点など用語は復習しておくことが大事です。

参考になった数0