大学入学共通テスト(数学) 過去問
令和4年度(2022年度)本試験
問82 (数学Ⅱ・数学B(第2問) 問10)

このページは閲覧用ページです。
履歴を残すには、 「新しく出題する(ここをクリック)」 をご利用ください。

問題

大学入学共通テスト(数学)試験 令和4年度(2022年度)本試験 問82(数学Ⅱ・数学B(第2問) 問10) (訂正依頼・報告はこちら)

( タ )に当てはまるものを選べ。

〔2〕b>0とし、g(x)=x3-3bx+3b2,h(x)=x3-x2+b2とおく。座標平面上の曲線y=g(x)をC1,曲線y=h(x)をC2とする。

C1とC2は2点で交わる。これらの交点のx座標をそれぞれα,β(α<β)とすると、α=( サ ),β=( シス )である。
α≦x≦βの範囲でC1とC2で囲まれた図形の面積をSとする。また、t>βとし、β≦x≦tの範囲でC1とC2および直線x=tで囲まれた図形の面積をTとする。
問題文の画像
  • {g(x)+h(x)}
  • {g(x)−h(x)}
  • {h(x)−g(x)}
  • {2g(x)+2h(x)}
  • {2g(x)−2h(x)}
  • {2h(x)−2g(x)}
  • 2g(x)
  • 2h(x)

次の問題へ

正解!素晴らしいです

残念...

この過去問の解説 (2件)

01

前問では、2つのグラフの概形や位置関係などについて説明し、面積Sと面積Tを求めました。

この問いでは、S-Tを求めます。

選択肢3. {h(x)−g(x)}

※上記の式の3、4行目のように、{ }の中の関数を{h(x)-g(x)}と揃えることで、積分の範囲をα→βとβ→tをα→tとひとまとめにすることができます。

 

参考になった数0

02

前問では次を確認しました。

h(x)−g(x)=−(x−b)(x−2b) なので、交点は x=b,2b です。
よって α=b、β=2b です。

b<x<2bではh(x)−g(x)>0なので h(x)>g(x) です。
よって
S=∫[b→2b]{h(x)−g(x)}dx
になります。

x>2bではh(x)−g(x)<0なので g(x)>h(x) です。
よって
T=∫[2b→t]{g(x)−h(x)}dx
になります。

 

 

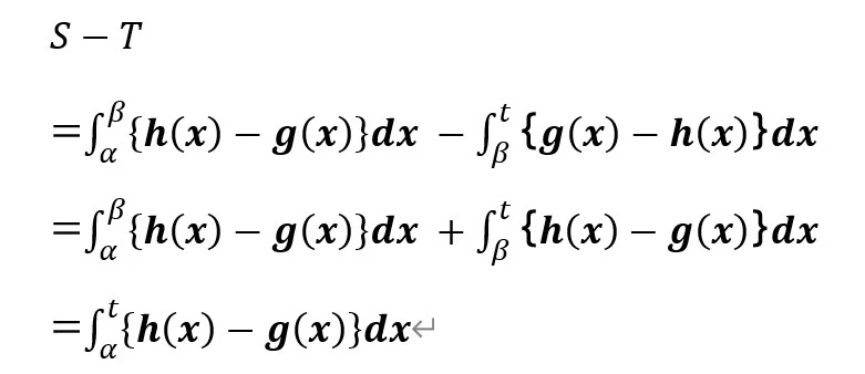
問題文の形から、S−Tを1つの積分で表すと

S−T
= ∫[α→β]{h(x)−g(x)}dx − ∫[β→t]{g(x)−h(x)}dx

 

ここで、2つ目の中身は
g(x)−h(x)=−(h(x)−g(x))
なので

S−T
= ∫[α→β]{h(x)−g(x)}dx + ∫[β→t]{h(x)−g(x)}dx
= ∫[α→t]{h(x)−g(x)}dx

となります。

 

つまり、S−T=∫[α→t]{タ}dxの形にまとめるときの(タ)は、{h(x)−g(x)}です。

選択肢3. {h(x)−g(x)}

正解です。

参考になった数0