大学入学共通テスト(数学) 過去問
令和4年度(2022年度)本試験
問83 (数学Ⅱ・数学B(第2問) 問11)

このページは閲覧用ページです。
履歴を残すには、 「新しく出題する(ここをクリック)」 をご利用ください。

問題

大学入学共通テスト(数学)試験 令和4年度(2022年度)本試験 問83(数学Ⅱ・数学B(第2問) 問11) (訂正依頼・報告はこちら)

( チツ/テ ),( ト ),( ナニ ),( ヌ )に当てはまるものを選べ。

〔2〕b>0とし、g(x)=x3-3bx+3b2,h(x)=x3-x2+b2とおく。座標平面上の曲線y=g(x)をC1,曲線y=h(x)をC2とする。

C1とC2は2点で交わる。これらの交点のx座標をそれぞれα,β(α<β)とすると、α=( サ ),β=( シス )である。
α≦x≦βの範囲でC1とC2で囲まれた図形の面積をSとする。また、t>βとし、β≦x≦tの範囲でC1とC2および直線x=tで囲まれた図形の面積をTとする。
問題文の画像
  • チツ/テ:−1/3  ト:8  ナニ:10  ヌ:3
  • チツ/テ:−1/3  ト:9  ナニ:11  ヌ:3
  • チツ/テ:−1/6  ト:9  ナニ:12  ヌ:5
  • チツ/テ:−1/6  ト:8  ナニ:12  ヌ:5

次の問題へ

正解!素晴らしいです

残念...

この過去問の解説 (2件)

01

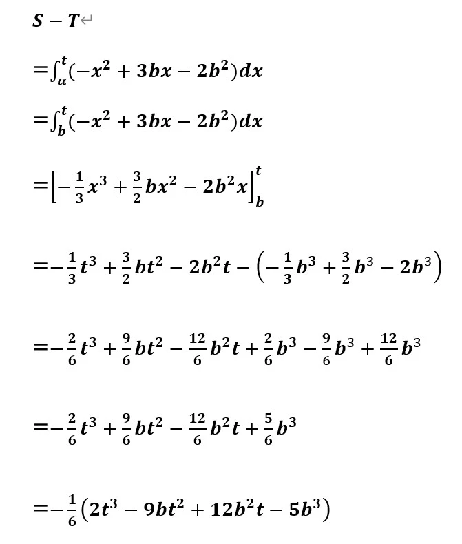
ここでは実際に、S-Tを計算してみます。前問で、α=b,β=2bであることはわかっています。

選択肢3. チツ/テ:−1/6  ト:9  ナニ:12  ヌ:5

上記の計算より、 チツテ -1/6 ト 9 ナニ 12 ヌ 5

参考になった数0

02

前問までで、次を確認しています。

h(x)−g(x)=−(x−b)(x−2b)なので、交点のx座標は
α=b、β=2bです。

b<x<2bではh(x)>g(x)x>2bではg(x)>h(x)なので、面積の式は
S=∫[b→2b]{h(x)−g(x)}dx
T=∫[2b→t]{g(x)−h(x)}dx
となります。

したがって差は1つにまとめられて
S−T=∫[b→t]{h(x)−g(x)}dx
です。

 

まず中身を整理します。

h(x)−g(x)
=(x3−x2+b2)−(x3−3bx+3b2)
=−x2+3bx−2b2

 

積分すると、
∫(−x2)dx=−(1/3)x3
∫(3bx)dx=(3b/2)x2
∫(−2b2)dx=−2b2x

なので
S−T=[−(1/3)x3+(3b/2)x2−2b2x](b→t)

計算すると
S−T=−(1/3)t3+(3b/2)t2−2b2t+5/6 b3

 

これを問題文の形に合わせて整理すると
S−T=(−1/6)(2t3−9bt2+12b2t−5b3)

したがって
チツ/テ=−1/6、ト=9、ナニ=12、ヌ=5です。

選択肢3. チツ/テ:−1/6  ト:9  ナニ:12  ヌ:5

正解です。

参考になった数0