大学入学共通テスト(数学) 過去問
令和5年度(2023年度)本試験
問32 (数学Ⅰ・数学A(第3問) 問7)
問題文
<条件>
・それぞれの球を、用意した5色(赤、青、黄、緑、紫)のうちのいずれか1色で塗る。
・1本のひもでつながれた二つの球は異なる色になるようにする。
・同じ色を何回使ってもよく、また使わない色があってもよい。
例えば図Aでは、三つの球が2本のひもでつながれている。この三つの球を塗るとき、球1の塗り方が5通りあり、球1を塗った後、球2の塗り方は4通りあり、さらに球3の塗り方は4通りある。したがって、球の塗り方の総数は80である。
(6)図Gにおいて、球の塗り方は( セソタチ )通りある。
( セソタチ )にあてはまるものを次のうちから1つ選べ。
このページは閲覧用ページです。
履歴を残すには、 「新しく出題する(ここをクリック)」 をご利用ください。
問題
大学入学共通テスト(数学)試験 令和5年度(2023年度)本試験 問32(数学Ⅰ・数学A(第3問) 問7) (訂正依頼・報告はこちら)
<条件>
・それぞれの球を、用意した5色(赤、青、黄、緑、紫)のうちのいずれか1色で塗る。
・1本のひもでつながれた二つの球は異なる色になるようにする。
・同じ色を何回使ってもよく、また使わない色があってもよい。
例えば図Aでは、三つの球が2本のひもでつながれている。この三つの球を塗るとき、球1の塗り方が5通りあり、球1を塗った後、球2の塗り方は4通りあり、さらに球3の塗り方は4通りある。したがって、球の塗り方の総数は80である。
(6)図Gにおいて、球の塗り方は( セソタチ )通りある。
( セソタチ )にあてはまるものを次のうちから1つ選べ。
- 1260
- 1060
- 1020
- 1350
正解!素晴らしいです
残念...
この過去問の解説 (2件)
01
前の問題(問31)の考え方を参考にして,
図Gと図Hを比較することで解いていきます。
図Hでは球4と球5が同色になる球の塗り方が可能であるため,
図Gよりも図Hの球の塗り方の総数の方が大きくなります。
図Hにおける球の塗り方の総数は,図Aの例と同様に考えます。
球5の塗り方が5通りあり,
球5を塗った後,球1の塗り方は4通りあり,
さらに球2の塗り方は4通り,……
と考えていくと,球3,球4の塗り方もそれぞれ4通りずつとなりますから,
5×44=1280(通り)
この1280通りのうち球4と球5が同色になる球の塗り方の総数を,
問30を参考にして考えます。
図Hにおいて,球1と球5は1本のひもでつながれているので,
球4と球5が同色になる球の塗り方をしたとき,
球1は球4・球5と異なる色で塗らなければなりません。
よって,このとき図Hにひもを1本追加して,
球1と球4を1本のひもでつなぐことができます。
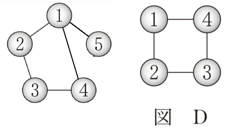
これは,図Dに球4と同じ色の球5を追加して,
球1と1本のひもでつないだのと同じ状態です。
図Dの球の塗り方の総数は,問31で求めたように,260通りです。
よって,図Hにおいて球4と球5が同色になる球の塗り方の総数も,260通りです。
図Gにおける球の塗り方の総数は,
「図Hにおける球の塗り方の総数」から,
「図Hにおいて球4と球5が同色になる球の塗り方の総数」を引いたものとなります。
したがって,求める球の塗り方の総数は
1280-260=1020(通り)
正解です。
解説を読んでも難しく感じる場合は,問30・問31をしっかり理解しましょう。
参考になった数0
この解説の修正を提案する
02
前問の方針になぞって解答しましょう。
直線型で考えて、その後繋がる部分で同色の場合を除外してやります。
まず、1番と5番を切り離した直線型を考えます。この色の塗り方の総数は、
5×4×4×4×4=1280通りです。
次に、前問のように両端(1番と5番)が同色である場合を除外します。
(i) 3番が両端と違う色の場合
両端の色は5通り、2番は4通り、3番は2番とも両端とも異なる必要があるので3通り、4番も3通りなので、
5×4×3×3=180通りとなります。
(ii) 3番が両端と同色の場合
両端と3番の色の選び方が5通り、それ以外の2球はそれぞれ4通りの色の塗り方があるので、
5×4×4= 80通りとなります。
以上より、求める場合の数は、
1280-180-80=1020通りとなります。
参考になった数0
この解説の修正を提案する
前の問題(問31)へ
令和5年度(2023年度)本試験 問題一覧
次の問題(問33)へ