大学入学共通テスト(数学) 過去問
令和6年度(2024年度)本試験
問70 (数学Ⅱ・数学B(第2問) 問2)

このページは閲覧用ページです。
履歴を残すには、 「新しく出題する(ここをクリック)」 をご利用ください。

問題

大学入学共通テスト(数学)試験 令和6年度(2024年度)本試験 問70(数学Ⅱ・数学B(第2問) 問2) (訂正依頼・報告はこちら)

( ウ )、( エ )にあてはまるものを1つ選べ。
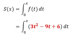
問題文の画像
  • ウ:9  エ:5
  • ウ:9  エ:6
  • ウ:9  エ:7
  • ウ:9  エ:8

次の問題へ

正解!素晴らしいです

残念...

この過去問の解説 (2件)

01

m=2のとき

f(x)

=3(x2-3x+2)

f'(x)

=3(2x-3)

f'(x)=0となるとき

2x-3=0

x=3/2

となります。

選択肢2. ウ:9  エ:6

正解です。

まとめ

展開するだけで大丈夫です。

参考になった数0

02

(i)のときの展開を用いればOKです。

f(x)=3x2-9x+6でしたので、

正解はウ:9,エ:6となります。

参考になった数0