大学入学共通テスト(数学) 過去問
令和6年度(2024年度)本試験
問71 (数学Ⅱ・数学B(第2問) 問3)

このページは閲覧用ページです。
履歴を残すには、 「新しく出題する(ここをクリック)」 をご利用ください。

問題

大学入学共通テスト(数学)試験 令和6年度(2024年度)本試験 問71(数学Ⅱ・数学B(第2問) 問3) (訂正依頼・報告はこちら)

( オ )、( カ )、( キ )にあてはまるものを1つ選べ。
問題文の画像
  • オカ:6/5  キ:5
  • オカ:7/2  キ:5
  • オカ:5/3  キ:6
  • オカ:9/2  キ:6

次の問題へ

正解!素晴らしいです

残念...

この過去問の解説 (2件)

01

m=2のとき

f(x)

=3(x2-3x+2)

f'(x)

=3(2x-3)

f'(x)=0となるとき

2x-3=0

x=3/2

となります。

選択肢4. オカ:9/2  キ:6

正解です。

まとめ

積分を復習することが大切です。

参考になった数0

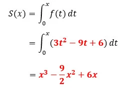
02

積分を計算します。

∫3t2-9t+6dt=t3-9/2t+6t=:F(t)

です。

S(x)=F(x)-F(0)=F(x)

より

S(x)=x3-9/2x+6x

以上から答えはオカ:9/2,キ:6とわかります。

参考になった数0