大学入学共通テスト(数学) 過去問
令和6年度(2024年度)本試験
問90 (数学Ⅱ・数学B(第3問) 問3)
問題文
以下の問題を解答するにあたっては、必要に応じて 正規分布表(リンク) を用いてもよい。また、ここでの晴れの定義については、気象庁の天気概況の「快晴」または「晴」とする。
(1)太郎さんは、自分が住んでいる地域において、日曜日に晴れとなる確率を考えている。
晴れの場合は1、晴れ以外の場合は0の値をとる確率変数をXと定義する。また、X=1である確率をpとすると、その確率分布は表1のようになる。
このページは閲覧用ページです。
履歴を残すには、 「新しく出題する(ここをクリック)」 をご利用ください。
問題
大学入学共通テスト(数学)試験 令和6年度(2024年度)本試験 問90(数学Ⅱ・数学B(第3問) 問3) (訂正依頼・報告はこちら)
以下の問題を解答するにあたっては、必要に応じて 正規分布表(リンク) を用いてもよい。また、ここでの晴れの定義については、気象庁の天気概況の「快晴」または「晴」とする。
(1)太郎さんは、自分が住んでいる地域において、日曜日に晴れとなる確率を考えている。
晴れの場合は1、晴れ以外の場合は0の値をとる確率変数をXと定義する。また、X=1である確率をpとすると、その確率分布は表1のようになる。
正解!素晴らしいです
残念...
この過去問の解説 (2件)
01
期待値mは
m=(1-p)・0+p・1=p
n=300は十分に大きいと考えられるため
正規分布N(m,σ2/n)
と表せられます。
正解です。
題意より算出していくことが確実ですが、分散の定義を覚えている方はそこから算出しても問題ないです。
参考になった数0
この解説の修正を提案する
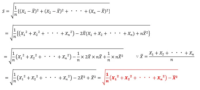
02
標本平均をXと書きます。
(X1-X)2+(X2-X)2+...+(Xn-X)2=(X12+...Xn2)+nX2-2(X1+...+Xn)X
ここで以下に注意します。
(X1+...+Xn)X=(X1+...+Xn)2/n=nX
よって
((X1-X)2+(X2-X)2+...+(Xn-X)2)/n=(X12+...Xn2)/n-X2
参考になった数0
この解説の修正を提案する
前の問題(問89)へ
令和6年度(2024年度)本試験 問題一覧
次の問題(問91)へ