大学入学共通テスト(数学) 過去問
令和6年度(2024年度)本試験
問91 (数学Ⅱ・数学B(第3問) 問4)
問題文
以下の問題を解答するにあたっては、必要に応じて 正規分布表(リンク) を用いてもよい。また、ここでの晴れの定義については、気象庁の天気概況の「快晴」または「晴」とする。
(1)太郎さんは、自分が住んでいる地域において、日曜日に晴れとなる確率を考えている。
晴れの場合は1、晴れ以外の場合は0の値をとる確率変数をXと定義する。また、X=1である確率をpとすると、その確率分布は表1のようになる。
このページは閲覧用ページです。
履歴を残すには、 「新しく出題する(ここをクリック)」 をご利用ください。
問題
大学入学共通テスト(数学)試験 令和6年度(2024年度)本試験 問91(数学Ⅱ・数学B(第3問) 問4) (訂正依頼・報告はこちら)
以下の問題を解答するにあたっては、必要に応じて 正規分布表(リンク) を用いてもよい。また、ここでの晴れの定義については、気象庁の天気概況の「快晴」または「晴」とする。
(1)太郎さんは、自分が住んでいる地域において、日曜日に晴れとなる確率を考えている。
晴れの場合は1、晴れ以外の場合は0の値をとる確率変数をXと定義する。また、X=1である確率をpとすると、その確率分布は表1のようになる。
正解!素晴らしいです
残念...
この過去問の解説 (2件)
01
期待値mは
m=(1-p)・0+p・1=p
n=300は十分に大きいと考えられるため
正規分布N(m,σ2/n)
と表せられます。
正解です。
題意より代入して整理することで算出できます。
参考になった数0
この解説の修正を提案する
02
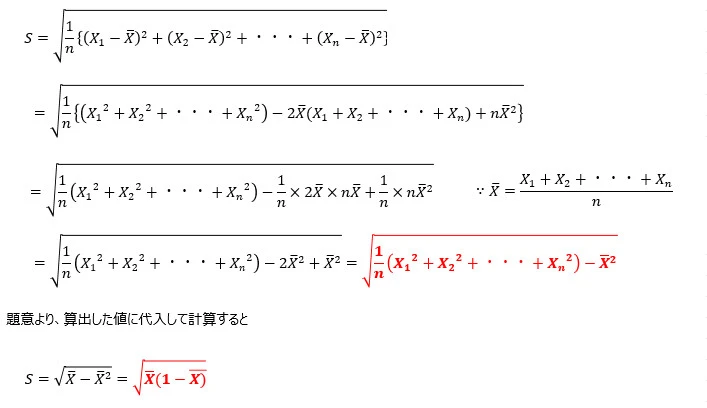
Xi2 = Xi (i=1,...,n)を代入します。
(X12+...+Xn2)/n-X2=(1-X)X
参考になった数0
この解説の修正を提案する
前の問題(問90)へ
令和6年度(2024年度)本試験 問題一覧
次の問題(問92)へ