大学入学共通テスト(数学) 過去問
令和6年度(2024年度)本試験
問99 (数学Ⅱ・数学B(第4問) 問4)
問題文
(2)数列{bn}が
2bn+1−bn+3=0 (n=1,2,3,…)を満たすとする。
数列{bn}の一般項は、初項b1を用いて
bn=(b1+[ キ ])([ ク ]/[ ケ ])n−1−( コ )
と表すことができる。
( キ )、( ク )/( ケ )、( コ )にあてはまるものを1つ選べ。
このページは閲覧用ページです。
履歴を残すには、 「新しく出題する(ここをクリック)」 をご利用ください。
問題
大学入学共通テスト(数学)試験 令和6年度(2024年度)本試験 問99(数学Ⅱ・数学B(第4問) 問4) (訂正依頼・報告はこちら)
(2)数列{bn}が
2bn+1−bn+3=0 (n=1,2,3,…)を満たすとする。
数列{bn}の一般項は、初項b1を用いて
bn=(b1+[ キ ])([ ク ]/[ ケ ])n−1−( コ )
と表すことができる。
( キ )、( ク )/( ケ )、( コ )にあてはまるものを1つ選べ。
- キ:2 クケ:1/2 コ:1
- キ:3 クケ:1/2 コ:3
- キ:4 クケ:1/3 コ:2
- キ:4 クケ:1/3 コ:3
正解!素晴らしいです
残念...
この過去問の解説 (2件)
01
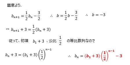
漸化式を解いていきます。
正解です。
漸化式のパターン解法は復習しておくことが大切です。
参考になった数0
この解説の修正を提案する
02
(bn+1-a)=C(bn-a)とおくと
bn+1-Cbn+(C-1)a=0
です。いま2bn+1-bn+3=0ですから変形すると
bn+1-bn/2+3/2=0
ですからC=1/2,a=-3
よって
(bn+1+3)=(bn+3)/2
数列(bn+3)は初項b1+3,項比1/2の等比数列とわかります。
一般項は
bn+3=(b1+3)/2n-1
より
bn=(b1+3)/2n-1-3
参考になった数0
この解説の修正を提案する
前の問題(問98)へ
令和6年度(2024年度)本試験 問題一覧
次の問題(問100)へ