大学入学共通テスト(数学) 過去問
令和6年度(2024年度)追・試験
問105 (数学Ⅱ・数学B(第5問) 問5)

このページは閲覧用ページです。
履歴を残すには、 「新しく出題する(ここをクリック)」 をご利用ください。

問題

大学入学共通テスト(数学)試験 令和6年度(2024年度)追・試験 問105(数学Ⅱ・数学B(第5問) 問5) (訂正依頼・報告はこちら)

以下( カ )にあてはまるものを1つ選べ。

平面上に3点O、A、Bがある。ただし、O、A、Bは同一直線上にはないとする。
問題文の画像
  • 解答選択肢の画像
  • 解答選択肢の画像
  • 解答選択肢の画像
  • 解答選択肢の画像
  • 解答選択肢の画像
  • 解答選択肢の画像
  • 解答選択肢の画像
  • 解答選択肢の画像

次の問題へ

正解!素晴らしいです

残念...

この過去問の解説 (2件)

01

解説では、ベクトルaをaと書きます。

解答:-ka+b

 

解説:

OD=OB+BD

BDとAOは平行でOA:BD=1:kより、

OD=OB+kAO

=OB-kOA

=-ka+b

参考になった数0

02

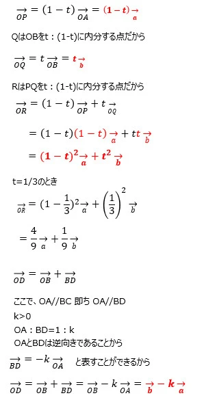
PはOAを(1-t):tに内分する点だから

選択肢1. 解答選択肢の画像

不正解です。

選択肢2. 解答選択肢の画像

不正解です。

選択肢3. 解答選択肢の画像

正解です。

選択肢4. 解答選択肢の画像

不正解です。

選択肢5. 解答選択肢の画像

不正解です。

選択肢6. 解答選択肢の画像

不正解です。

選択肢7. 解答選択肢の画像

不正解です。

選択肢8. 解答選択肢の画像

不正解です。

まとめ

平行関係やベクトルの等号の関係性に注意して解いていくことが大切です。

参考になった数0