大学入学共通テスト(数学) 過去問
令和6年度(2024年度)追・試験
問107 (数学Ⅱ・数学B(第5問) 問7)

このページは閲覧用ページです。
履歴を残すには、 「新しく出題する(ここをクリック)」 をご利用ください。

問題

大学入学共通テスト(数学)試験 令和6年度(2024年度)追・試験 問107(数学Ⅱ・数学B(第5問) 問7) (訂正依頼・報告はこちら)

以下( ク )にあてはまるものを1つ選べ。

平面上に3点O、A、Bがある。ただし、O、A、Bは同一直線上にはないとする。
問題文の画像
  • 解答選択肢の画像
  • 解答選択肢の画像
  • 解答選択肢の画像
  • 解答選択肢の画像
  • 解答選択肢の画像

次の問題へ

正解!素晴らしいです

残念...

この過去問の解説 (2件)

01

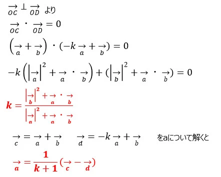
解説では、ベクトルaをaと書きます。

解答:c-d

 

解説:

問題文と(カ)の解答より、

c=a+b

d=-ka+b

上2式を連立すると、

c-d=(1+k)a

a={1/(k+1)}(c-d

参考になった数0

02

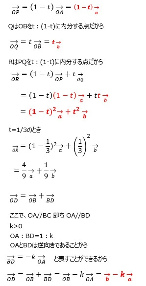
PはOAを(1-t):tに内分する点だから

 

選択肢1. 解答選択肢の画像

不正解です。

選択肢2. 解答選択肢の画像

正解です。

選択肢3. 解答選択肢の画像

不正解です。

選択肢4. 解答選択肢の画像

不正解です。

選択肢5. 解答選択肢の画像

不正解です。

まとめ

まずは既存の式関係を整理することが大切です。

参考になった数0