大学入学共通テスト(数学) 過去問
令和6年度(2024年度)追・試験
問109 (数学Ⅱ・数学B(第5問) 問9)

このページは閲覧用ページです。
履歴を残すには、 「新しく出題する(ここをクリック)」 をご利用ください。

問題

大学入学共通テスト(数学)試験 令和6年度(2024年度)追・試験 問109(数学Ⅱ・数学B(第5問) 問9) (訂正依頼・報告はこちら)

以下( コ )、( サ )、( シ )、( ス )、( セ )にあてはまるものを1つ選べ。

平面上に3点O、A、Bがある。ただし、O、A、Bは同一直線上にはないとする。
問題文の画像
  • コ:k  サ:1/2  シ:1  ス:k  セ:1/2
  • コ:2k  サ:1  シ:2  ス:1  セ:1
  • コ:(k−1)  サ:2  シ:k  ス:2  セ:2
  • コ:2(k−1)  サ:k  シ:1/2  ス:1  セ:1/2
  • コ:(k+1)  サ:2  シ:1  ス:2  セ:1
  • コ:2(k+1)  サ:1  シ:2  ス:k  セ:2

次の問題へ

正解!素晴らしいです

残念...

この過去問の解説 (2件)

01

解説では、ベクトルaをaと書きます。

解答:{1/(k+1)}{(k+1)t2-2t+1}c+{1/(k+1)}(2t-1)d

 

解説:

(ウ)、(エ)の解答より、

OR=(1-t)2a+t2b

(ク)、(ケ)の解答を代入すると、

OR=(1-t)2{1/(k+1)}(c-d)+t2{1/(k+1)}(kc+d

={1/(k+1)}[{(1-t)2+kt2}c+{t2-(1-t)2}d]

={1/(k+1)}{(k+1)t2-2t+1}c+{1/(k+1)}(2t-1)d

参考になった数0

02

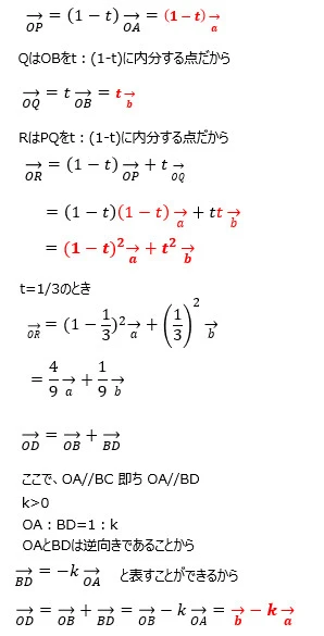
PはOAを(1-t):tに内分する点だから

選択肢1. コ:k  サ:1/2  シ:1  ス:k  セ:1/2

不正解です。

選択肢2. コ:2k  サ:1  シ:2  ス:1  セ:1

不正解です。

選択肢3. コ:(k−1)  サ:2  シ:k  ス:2  セ:2

不正解です。

選択肢4. コ:2(k−1)  サ:k  シ:1/2  ス:1  セ:1/2

不正解です。

選択肢5. コ:(k+1)  サ:2  シ:1  ス:2  セ:1

正解です。

選択肢6. コ:2(k+1)  サ:1  シ:2  ス:k  セ:2

不正解です。

まとめ

ここでは数式が少し長くなるので、落ち着いて1こずつ確実に計算していくことが大切です。

参考になった数0